LEGIONELLA - SETRI - page 279

277
Apesar de não ter carater Legislativo foi ainda lançado em 2012 um
documento informativodenominadode“Prevençãoecontrolode
Legionella
nos sistemas de água”, do Instituto Português da Qualidade/Ministério
da Economia e do Emprego/ Comissão Setorial para Água (CS/04). Este
documentoéumcontributoparaa formação / informaçãodos técnicoscom
responsabilidadenamanutençãoecontrolode sistemas artificiasdeágua).
De referir que a eliminação da
Legionella
dos sistemas artificiais
contaminados é extremamente difícil, pelo que a melhor forma de
prevenção para evitar a infeção consiste na correta construção dos
sistemascommateriaisadequados, namanutençãodas infraestruturasena
implementação de políticas de controlo, bem como na elaboração de um
planodemonitorização adequado a cada situação.
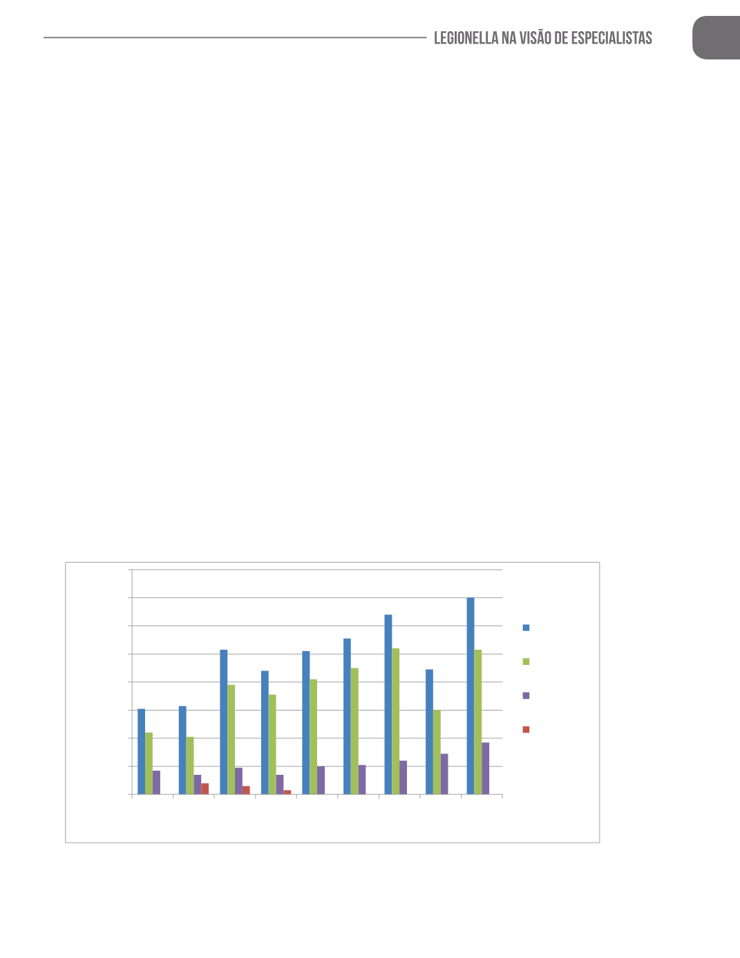
Apresentação dos dados relativos à Doença dos Legionários em
Portugal
0
20
40
60
80
100
120
140
160
2004 2005 2006 2007 2008 2009 2010 2011 2012
Númerodecasos
Ano
Total casos
Sexo
Masculino
Sexo
Feminino
Sem
identificação
Gráfico1
–NúmerodeCasosnotificados deDL, por sexo, ao longodos anos emPortugal, ProgramadeVigilância
Epidemiológica Integrada, 2004–2012.
1...,269,270,271,272,273,274,275,276,277,278 280,281,282,283,284,285,286,287,288,289,...354
Powered by FlippingBook