LEGIONELLA - SETRI - page 280

278
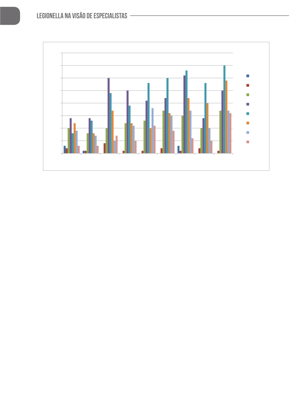
Gráfico2
–Númerode casosnotificados deDL, por idade, ao longodos anos emPortugal, ProgramadeVigilância
Epidemiológica Integrada, 2004–2012.
OmaiornúmerodenotificaçõesprovenientesdoProgramadeVigilância
EpidemiológicaIntegradadaDoençadosLegionáriosincidesobreindivíduos
dosexomasculino, sendoasclassesetáriasmaisafetadasados40aos59anos.
Estesresultadosencontram-sedeacordocomabibliografia internacional.No
entanto, édereferirquenosanosde2004,2005e2010 foramregistadoscasos
dedoençanaclasseetáriados0-19anos, factopoucocomumnestadoença.
0
5
10
15
20
25
30
35
40
2004 2005 2006 2007 2008 2009 2010 2011 2012
Númerodecasos
Ano
0-19
20-29
30-39
40-49
50-59
60-69
70-79
80+
1...,270,271,272,273,274,275,276,277,278,279 281,282,283,284,285,286,287,288,289,290,...354
Powered by FlippingBook